Белгородская область, Россия
Россия
УДК 35.073.515.11 Амелиорация
УДК 631.6 Сельскохозяйственная мелиорация
ГРНТИ 68.31 Сельскохозяйственная мелиорация
ОКСО 35.00.00 Сельское, лесное и рыбное хозяйство
ББК 4 СЕЛЬСКОЕ И ЛЕСНОЕ ХОЗЯЙСТВО. СЕЛЬСКОХОЗЯЙСТВЕННЫЕ И ЛЕСОХОЗЯЙСТВЕННЫЕ НАУКИ
ТБК 5607 Сельскохозяйственная мелиорация
BISAC TEC003000 Agriculture / General
При анализе процесса фильтрации в неоднородном основании гидротехнических сооружений со сложным подземным контуром определено, что во входном элементе изначально фильтрационный поток направлен перпендикулярно нижним слоям основания сооружения, затем постепенно отклоняется в сторону нижнего бьефа, при этом коэффициент фильтрации изменяется от k’В до k’Г в выходном элементе фильтрационный поток в начале имеет горизонтальное направление, затем постепенно приближается к вертикальному, то есть – от k’Г до k’В. Предложена схема к определению закономерности изменения коэффициента фильтрации, который во входном элементе зависит от направления потока относительно слоев подземного основания сооружения. Установлено, что при различных значениях kср во входном и выходном элементах и kвх разницей между ними можно пренебречь. Получены выражения коэффициентов фильтрации в шпунтовом элементе по горизонтальному и вертикальному направлению слоев основания. Установлены зависимости для расчета длин горизонтальных элементов, соответственно, для плоских оснований и оснований со шпунтовыми элементами. Получены выражения для определения предельных расчетных глубин неоднородного основания со сложным подземным контуром, соответственно, для горизонтального и шпунтового элементов
фильтрация, потери напора, неоднородный грунт, флютбет, элемент, гидротехническое сооружение, плотина
Эксплуатационные характеристики грунтовых плотин являются главным фактором рационального проектирования и оценки их технического состояния на протяжении всего их жизненного цикла. Вопросы эксплуатации гидротехнических сооружений, построенных насыпным или намывным способом, являются весьма актуальными в контексте растущего перечня объектов гидротехнического назначения, подлежащих капитальному ремонту или реконструкции. В этой связи все факторы, которые тем или иным образом снижают надежность и устойчивость элементов грунтовых плотин в процессе их эксплуатации, требуют изучения. Так, например, для обследования гидротехнических сооружений используются возможности информационного моделирования сооружений гидротехнического назначения. Создание цифровых моделей, или двойников, гидротехнических сооружений также поможет ответить на вопросы, связанные с фильтрацией влаги в основании сооружения сложной геометрии [1].
Одним из главных параметров, определяющих надежную эксплуатация на протяжении всего жизненного цикла грунтовых плотин в мелиоративном хозяйстве, является фильтрационная способность грунтовых материалов, из которых она построена [2]. Параметрические особенности самого гидротехнического сооружения, характеристики грунтов, особенности рельефа, системы инженерных коммуникаций сооружения тоже влияют на надежность в процессе его эксплуатации. При этом все эти показатели связаны с фильтрацией, с ее стационарностью или нестационарностью [3].
Уникальность каждого сооружения из грунтовых материалов с целью подпора воды в водохранилищах для мелиоративных целей и рыбного хозяйства показывает особенности фильтрации в зависимости от всех вышеперечисленных параметров. Специфика устройства оснований таких сооружений с учетом особенностей грунтов требует специальных подходов к аналитическому и имитационному (информационному) моделированию процесса фильтрации в них. Особое внимание в аналитических исследованиях вопросов, связанных с фильтрационной способностью грунтовых плотин, надо уделить анизотропности грунтов [3] и конструктивному устройству основания таких сооружений [4, 5].
Зачастую сложный рельеф местности, на которой располагается плотина или предлагается к проектированию, накладывает на разработку проекта ряд сложностей, связанных одновременно и с геометрией и конструкцией сооружения, и с особенностями грунтов. Поэтому тема исследования, связанная с аналитическим расчетом фильтрации в неоднородном основании гидротехнических сооружений со сложным подземным контуром, является весьма актуальной. Поставленный, таким образом, вопрос исследования позволит верифицировать информационные модели грунтовых плотин со сложным подземным контуром, созданные в различных программных комплексах систем автоматизированного проектирования и расчета.
Целью исследования является разработка методики расчета фильтрации в неоднородном основании гидротехнических сооружений со сложным подземным контуром.
Вопросами фильтрационной способности грунтовых плотин различной конструкции в нашей стране и за рубежом в разное время занимались М.М. Гришин, Н.Н. Павловский, Л.Н. Рассказов, С.М. Слисский, Р.Р. Чугаев, В.Г. Орехов, А.Н. Анискин, В.В. Толстиков, Салямова К.Дж. и др. В исследованиях ряда авторов [6-9] не рассматривался вопрос неоднородности основания (грунта) со сложной геометрией подземной части гидротехнического сооружения. Авторы настоящего исследования считают необходимым рассмотреть поставленный вопрос в исследовании на основе существующей теоретической базы расчета коэффициентов фильтрации для слоистых грунтовых структур и их неоднородности с учетом геометрических особенностей подземного контура плотины.
Методы и объект исследования. Для разработки методики расчета фильтрации в неоднородном основании гидротехнических сооружений со сложным подземным контуром воспользуемся аналитический подходом к исследованию. Такой подход связан с научным анализом имеющейся по данному вопросу исследования информации, которая позволит разобраться в сложных явлениях и процессах при фильтрации воды через основание плотины со сложной геометрией. Аналитический метод направлен на сбор, сравнение и интерпретацию данных с целью получения информации, установления закономерностей и понимания сути объекта исследования, которым является грунтовая плотина со сложным подземным контуром. Исследования авторов связаны с теоретическим обоснованием расчета процесса фильтрации в неоднородном основании грунтовой плотины, которая имеет сложный подземный контур.
Своего рода аналитическое моделирование процесса фильтрации для рассматриваемого гидротехнического сооружения позволяет создать схему модели, отражающую реальные процессы фильтрации в неоднородном основании плотины со сложным контуром. Объектом теоретического анализа процесса фильтрации в настоящем исследовании является грунтовая плотина со сложным подземным контуром (со шпунтовыми элементами).
Основная часть. Рассмотрим общую схему подземного контура сооружения (рис. 1). В основании сооружения залегает неоднородный грунт из различных по проницаемости слоев. Грунт в каждом слое однородный с коэффициентом фильтрации kφi, толщина слоя di. Пользуясь методом коэффициентов сопротивления Р.Р. Чугаева [10] и применяя его к расчету ламинарного фильтрационного потока Н.Н. Павловского записываем формулу для фильтрационного расхода в виде [11]:

где
- сопротивляемости, соответственно, входного, горизонтального, шпунтового и выходного элементов основания. Данные коэффициенты определяются из соотношений (2 – 5) настоящего исследования:

здесь
– коэффициенты (гидродинамического) сопротивления входного, горизонтального, шпунтового и выходного элементов;
– коэффициенты фильтрации элементов. В общем случае в подземном контуре могут быть несколько горизонтальных и шпунтованных элементов.
Для численного определения приведенных выше сопротивляемостей рассмотрим схему плоского флютбета (рис. 2). Формулу расхода (1) можно переписать в виде:

где
- сопротивляемости, соответственно, входного, горизонтального и выходного элементов без шпунтов.

Рис. 1 Схема подземного контура: а) – со шпунтом; б) – без шпунта.

Рис. 2 Схема изменения коэффициентов фильтрации
Как известно, для водонасосного пласта, состоящего из горизонтальных слоев, как показано на рис. 1 б, средний коэффициент фильтрации по горизонтальному направлению определяется по формуле [12]:

Когда направление фильтрации перпендикулярно слоям (в данном случае - вертикальное), формула для среднего коэффициента фильтрации, отрженная в выражении (7), будет иметь вид:

где Т – толщина основания, состоящая из множества слоев kφi·di, м.
Ясно, что только для области, находящейся непосредственно под сооружением, где фильтрационный поток горизонтальный можно принимать коэффициент фильтрации в зависимости от уравнения (3):

Естественно, формула (9) применима для фильтрационных расчетов горизонтальных элементов, показанных на рис. 1 а. Формула (8) устанавливает основную зависимость различных показателей в фильтрации через неоднородный грунт.
Что касается входного и выходного элементов, то здесь, как указывалось выше, фильтрационный поток поворачивается на 90°. Во входном элементе он сначала направлен перпендикулярно нижним слоям, а далее постепенно отклоняется в сторону нижнего бьефа и становится параллельным осям, т. е. коэффициент фильтрации изменяется от k’В до k’Г . В выходном элементе фильтрационный поток вначале имеет горизонтальное направление, затем постепенно приближается к вертикальному вверх. В этом элементе коэффициент фильтрации изменяется, наоборот, от k’Г до k’В.
Эти изменения изображены на рис. 2, где коэффициент фильтрации во входном элементе зависит от направления потока относительно слоев от точки А до В, а в выходном элементе - от В до А. Закон изменения коэффициента фильтрации от А до В или в обратном направлении в данном случае не ясен, но он может быть изображен только выпуклой плавной кривой АМВ или вогнутой плавной кривой АNВ. В частности, возможна прямая линия АВ.
Определить средний коэффициент фильтрации слоистого (анизотропного) грунта можно из выражения, близкого по смыслу выражению (8):

Устанавливаем при этом, что значение kср во входном и выходном элементах может быть либо kГ > kвх (или) ≥ kср; kср > kвх (или kвых) > kВ. Хотя коэффициенты фильтрации kвх и kвых могут быть больше или меньше kср, их разность невелика. Учитывая наличие других неточностей, которые нельзя избежать при вычислении коэффициентов фильтрации и толщины слоев, полагаем, что разность между kср и kвх (или kвых) можно пренебречь.
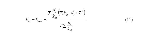
Следовательно, коэффициент фильтрации во входном и выходном элементах можно принять равным друг другу на основании выражения (10):

Из формул (9) и (11) закономерно следует, что в частном случае при kφi = k (случай однородного грунта) коэффициента фильтрации оказываются равным kвх = kвых = kГ = k. Для определения коэффициентов сопротивления заменим действительный грунт горизонтального элемента под сооружением однородным воображаемым грунтом, коэффициент фильтрации которого равен kвх = kвых.
Используя такой подход для сохранения неизменных величин расхода q, напора H и толщины T нужно заменить действительную длину флютбета L (рис. 1, б) виртуальной длиной LB, определенной по формуле:

В результате получим воображаемое сооружение с коэффициентом фильтрации однородного грунта основания kвх и длиной флютбета LB. В данном случае формулу для расхода можно записать в виде:

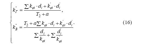
Для установления коэффициента фильтрации шпунтового элемента kШ рассмотрим расчетную схему на рис. 3, в которой Т1 = Т2 + a. Предположим, что в ленте Т2 имеются некоторые слои kφi·di, а в ленте a = Т1 - Т2 - kφi·di.

Итак, в области Т1, находящейся слева от шпунта, коэффициент фильтрации, соответственно, по горизонтальному и вертикальному направлениям будет определяться их следующей системы дифференциальных уравнений:

В области T2, находящейся справа от шпунта, формулы для определения коэффициентов фильтрации имеют вид:

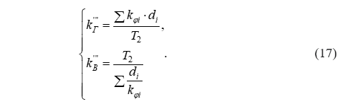
Принимая толщину a незначительной по сравнению с T1 и T2, части площади шпунтового элемента, расположенные слева и с права от шпунта 125 и 534 (рис. 3) можно считать равными.
Следовательно, коэффициенты фильтрации в шпунтовом элементе 1234 (рис. 3) по горизонтальному и вертикальному направлению будут определяться из следующей системы уравнений:

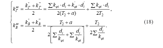
При T1 = T2 (a=0) … , поэтому формула (18) становится идентичной формуле (17).
Результаты и обсуждения. Рассматривая явление фильтрации в шпунтовом элементе, видим, что при т.е. при s = a = 0 (без уступа и шпунта), направление фильтрационного потока горизонтальное. Поэтому коэффициент фильтрации шпунтового элемента kш = kГш. В случае, когда соотношение приближается к единице (но не равно единице), т.е. , фильтрационный поток имеет вертикальное направление (вниз в области слева от шпунта и вверх в области справа от шпунта). Тогда, естественно, kш = kВш.
Из предыдущего анализа ясно, что коэффициент фильтрации шпунтового элемента зависит от и изменяется от kГш при
до kВш при
. Учитывая это, можно найти коэффициент фильтрации шпунтового элемента по формуле.
Зная значения сопротивляемостей λi, легко рассчитываем расход фильтрации в неоднородном основании по формуле (1).
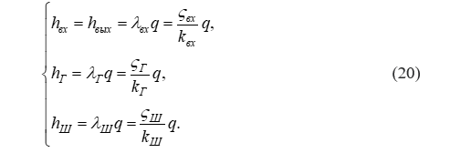
Потери напора в соответствующих элементах подземного контура вычисляем по формулам [10]:

Для определения предельной расчетной глубины Тр проницаемого основания по напору при расчете коэффициентов сопротивления горизонтальных и шпунтовых элементов ςГ и ςШ заменим действительные элементы соответственно воображаемыми горизонтальными элементами плоского флютбета, находящегося над однородным основанием с коэффициентом фильтрации k’ф и толщиной Т’= Тр. Пользуясь виртуальным способом, для сохранения неизменных величин расхода и напора H получаем формулы для расчета виртуальных длин и воображаемых горизонтальных элементов, соответственно, для действительных и шпунтовых элементов в виде:

Используя понятие активной зоны фильтрации по напору из работы [10], можно определить предельную расчетную глубину основания, соответственно, для горизонтального и шпунтового элементов:

где и
находим по формулам (21). Так как величины в формулах (21) зависят от Тр, необходимо установить Тр, решив уравнение (17). При определении расхода фильтрации по формуле (1) предполагается, что расчетный водоупор совпадает с действительным водоупором, т. е. Тр= Т. Известно, что при больших действительных глубинах T величина расхода преувеличена, а при вычислении потери напора по формуле (20) использование расчетной глубины Тр по формуле (22) уместно только при Тр ≤ Т. В противном случае (Т < Тр ) расчетная глубина принимается равной действительной глубине.
Выводы. В процессе аналитического исследования цели настоящей работы можно заключить следующее. При анализе процесса фильтрации в неоднородном основании гидротехнических сооружений со сложным подземным контуром определено, что во входном элементе изначально фильтрационный поток направлен перпендикулярно нижним слоям основания сооружения, затем постепенно отклоняется в сторону нижнего бьефа, при этом коэффициент фильтрации изменяется от k’В до k’Г; в выходном элементе фильтрационный поток в начале имеет горизонтальное направление, затем постепенно приближается к вертикальному, то есть - от k’Г до k’В. Предложена схема к определению закономерности изменения коэффициента фильтрации, который во входном элементе зависит от направления потока относительно слоев подземного основания сооружения. Установлено, что при различных значениях kср во входном и выходном элементах и kвх разницей между ними можно пренебречь. Получены выражения коэффициентов фильтрации в шпунтовом элементе по горизонтальному и вертикальному направлению слоев основания.
Установлены зависимости для расчета длин горизонтальных элементов, соответственно, для плоских оснований и оснований со шпунтовыми элементами. Получены выражения для определения предельных расчетных глубин неоднородного основания со сложным подземным контуром, соответственно, для горизонтального и шпунтового элементов.
1. Скляренко Е. О., Матюшенко П. С. Методика исследований фильтрации через основание грунтовой плотины с устройством противофильтрационных завес методом ЭГДА // Пути повышения эффективности орошаемого земледелия. 2018. № 2(70). С. 181-189.
2. Ладенко С. Ю., Иванова Т. В., Абрамов Н. А. Признаки развития деструктивных процессов в теле и основании грунтовой плотины, связанные с изменением фильтрационного режима // Известия Всероссийского научно-исследовательского института гидротехники им. Б.Е. Веденеева. 2020. Т. 297. С. 11-21.
3. Мирсаидов М.М., Султанов Т.З., Юлдошев Б.Ш. Методы оценки напряженного состояния грунтовых плотин с учетом влажностных свойств грунта. Ташкент: «Adabiyot uchqunlari». 2020. 156 с.
4. Рассказов Л. Н., Орехов В. Г., Анискин Н. А., Малаханов В. В., Бестужева А. С., Саинов М. П., Солдатов П. В., Толстиков В. В. Гидротехнические сооружения. Часть 1: учебник для вузов // Издание второе, исправленное и дополненное. Москва: АСВ, 2011. 536 с.
5. Ахмедов М.А., Салямова К. Дж. Анализ и оценка повреждений гидротехнических сооружений // Ташкент: «Фан ва технология», 2016, 160 с.
6. Орехов Г.В., Кыонг Ч. Анализ фильтрации через земляную плотину с диафрагмой на непроницаемом основании с помощью программы PLAXIS 2D. // Вестник МГСУ. 2024. Т.19(2). С.281-293.
7. Aniskin N. A., Sergeev F. A., Bokov I. A. Filtration and Temperature Regime of a Frozen-Type Soil Dam in the Cryolithozone // International Journal for Computational Civil and Structural Engineering. – 2024. – Vol. 20, No. 1. – Pp. 143-153. – DOIhttps://doi.org/10.22337/2587-9618-2024-20-1-143-153.
8. Салямова К.Д., Турдикулов Х.Х., Мифтахова И.Р. Расчет высокой грунтовой плотины с учетом напряженного состояния и порового давления (с учетом данных натурных наблюдений) // Вестник БГТУ им. В.Г. Шухова. 2019. № 7. С. 24–32. DOI:https://doi.org/10.34031/article_5d35d0b7694ea7.79490804
9. Анискин Н.А., Рассказов Л.Н., Ядгоров Ё.Х. Фильтрация и поровое давление в ядре каменно-земляной плотины // Гидротехническое строительство. 2016. №6. С. 16–22.
10. Чугаев Р.Р. Подземный контур гидротехнических сооружений // 2-е издание, переработанное. Л.: Энергия, 1974. 237 с., ил.
11. Баламирзоев А. Г. Определение параметров для гидротехнических сооружений со сложным подземным контуром // Известия высших учебных заведений. Северо-Кавказский регион. Технические науки. 2003. № 2. С. 82-87.
12. Анискин Н.А., Сергеев С.А. Устойчивость откоса грунтовой плотины при сработке водохранилища // Строительство: наука и образование. 2022. Т. 12. Вып. 3. Ст. 1. – C. 6-17. DOI:https://doi.org/10.22227/2305-5502.2022.3.1



